帯広スズランボウル

497

9月のスズランニュースを掲載しました。

令和7年9月のスズランニュースを掲載させて頂きました。

会員様はじめスズランボウルでお楽しみの皆様に、是非ご一読いただければ幸に存じます。

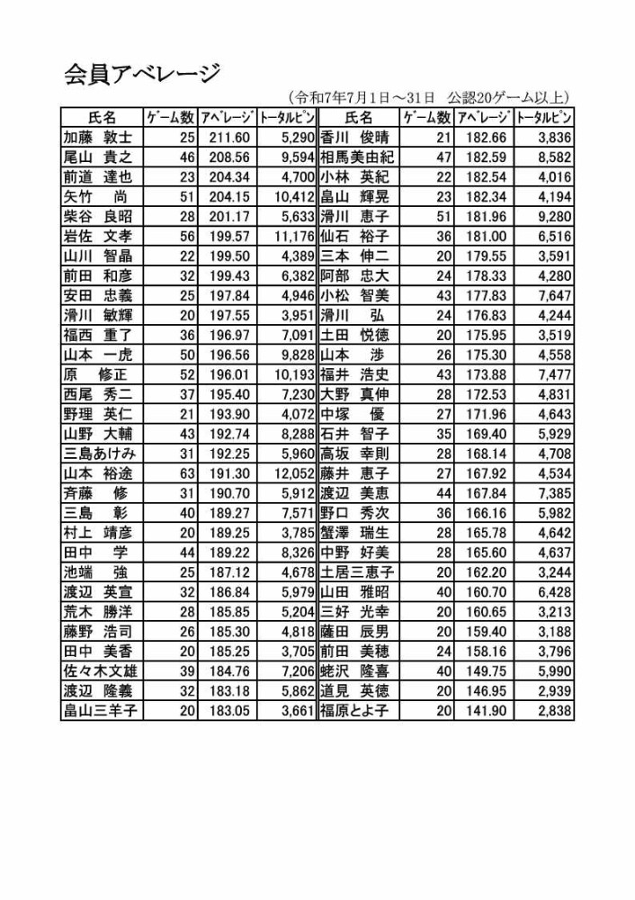
内容は下記をご覧ください。

PDF/印刷用PDFはこちら


トピックス一覧
  1. ホーム
  2. トピックス一覧
  3. 9月のスズランニュースを掲載しました。